合格名单公示
工布江达县人民政府
2023-08-29
来源:网信工布江达
【字体:大 中 小】
【打印本文】
广大考生:
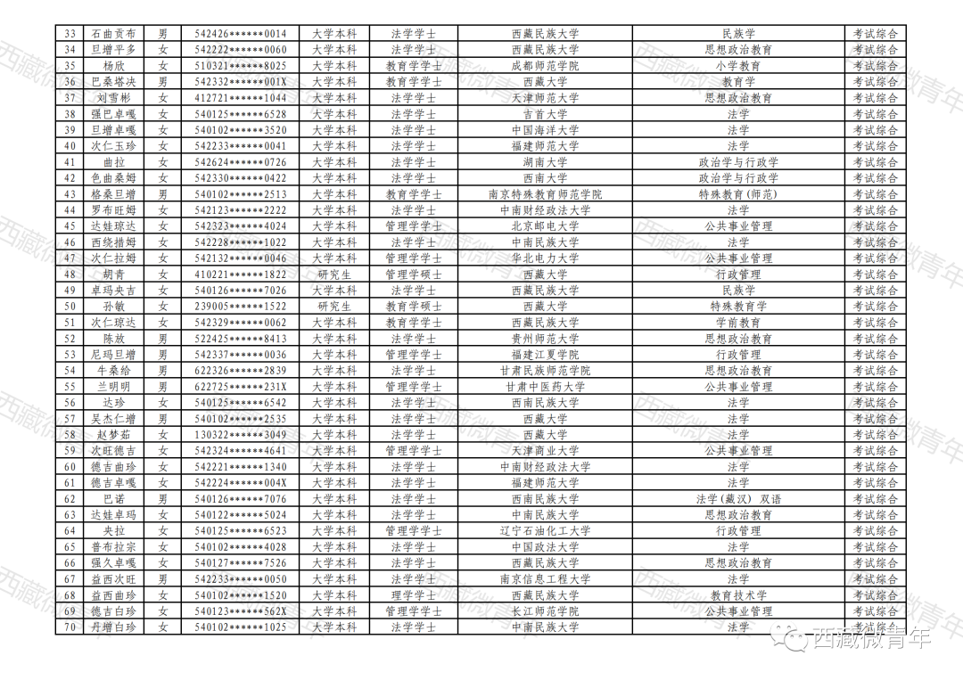
西藏自治区教育考试院面向社会公开招聘非编工作人员报名工作于2023年8月10日--8月20日顺利结束。现将初审合格名单予以公告。
1.请公示名单中已通过初审的考生认真复习,提前做好笔试准备,笔试预计9月份进行,具体时间及相关事宜另行通知,请及时关注西藏自治区教育考试院官网及“西藏微青年”微信公众号。
2.请已提交报名资料但未在公示名单中的考生于8月28日18时前主动与招聘单位联系核实,逾期视为放弃。
3.如本人信息有误、对本人或他人报名资格初审情况有疑异的请于8月28日18时前主动联系西藏自治区教育考试院核实情况。
联系方式:符老师:0891-6314399 13989988919
西藏自治区教育考试院
2023年8月27日












